Του Δημήτρη Κατσαγάνη
Σε ανώτερο επίπεδο συνεχίζεται η διαπραγμάτευση μεταξύ του Υπουργού Εργασίας Γιώργου Κατρούγκαλου και των ελευθέρων επαγγελματιών γύρω από του "μέτωπο" της επιβολής ασφαλιστικής εισφοράς 20% στο εισόδημα τους από 1.1.2017.
Σήμερα το πρωί είναι προγραμματισμένη συνάντηση των δύο πλευρών για να καταλήξουν –αν είναι δυνατό- σε μία κοινά αποδεκτή πλατφόρμα επιβολής του εν λόγω μέτρου που προβλέπεται στο κυβερνητικό προσχέδιο για το νέο Ασφαλιστικό που παρουσιάστηκε τη Δευτέρα 4 Ιανουαρίου.
Χθες συναντήθηκε ο Υπουργός Εργασίας, Γιώργος Κατρούγκαλος με τον αναπληρωτή Υπουργό Οικονομικών, Τρύφωνα Αλεξιάδη για να εξετάσουν την νέα κυβερνητική πρόταση, βασικό στοιχείο της οποίας θα είναι η ηπιότερη εφαρμογή του μέτρου στους νέους επαγγελματίες και νέους επιστήμονες, ασφαλισμένους στον ΟΑΕΕ και το ΕΤΑΑ έως 5έτη.
Και όσοι αλλάζουν επαγγελματική δραστηριότητα στην ασφαλιστική κλάση του ΟΓΑ
Πηγές του capital.gr, αναφέρουν πως η κυβέρνηση εξετάζει όχι μόνο την υπαγωγή των νέων επαγγελματιών και των νέων επιστημόνων στην κατώτερη ασφαλιστική κλάση που αντιστοιχεί στο καθεστώς που θα ισχύσει για τον ΟΓΑ, αλλά και όσων αλλάζουν επαγγελματική δραστηριότητα. Αυτό σημαίνει οτι αν κάποιος πληρώνεται με "μπλοκάκι" και αλλάζει αντικείμενο εργασίας θα ισχύει και γι αυτόν η υπαγωγή στην κατώτερη ασφαλιστική κλάση του ΟΓΑ.
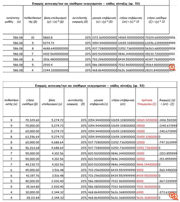
Σύμφωνα με πληροφορίες του Capital.gr οι κλίμακες πάνω στις οποίες έχουν δουλέψει εμπειρογνώμονες της ΕΣΕΕ τις δικές τους προτάσεις δίνουν τις παρακάτω επιβαρύνσεις για τους ελεύθερους επαγγελματίες.
"Καρφιά" Κατρούγκαλο στο ΔΝΤ
Την ίδια στιγμή που μαίνεται η εσωτερική διαπραγμάτευση για το Ασφαλιστικό και ιδίως για το χαράτσι του 20% στο εισόδημα των επαγγελματιών, ο Υπ. Εργασίας, κ. Γιώργος Κατρούγκαλος τόνισε σε συνέντευξή του στην The Wall Street Journal "η ζωή μας θα ήταν πολύ πιο εύκολη εάν μπορούσαμε να συζητάμε μόνο με τους Ευρωπαίους, αυτό είναι σαφές", αναφερόμενος στο ενδεχόμενο συμμετοχής ή όχι του ΔΝΤ στο πρόγραμμα χρηματοδότησης.
Ωστόσο μπορεί το ΔΝΤ να μην έχει αποφασίσει ακόμα αν θα μείνει στο ελληνικό πρόγραμμα ως χρηματοδότης, οι Ευρωπαίοι εταίροι του, όμως, έχουν αποφασίσει να έχει τον πρώτο λόγο στην αξιολόγηση του σχεδίου για το ασφαλιστικό. Και αυτό σχετίζεται με την συζήτηση για την αναδιάρθρωση του χρέους.
Ο κ. Κατρούγκαλος σημείωσε ότι ορισμένοι Ευρωπαίοι δανειστές, υπό την Γερμανία, θεωρούν το ΔΝΤ ζωτικής σημασίας για την επιβολή δημοσιονομικής πειθαρχίας στην Ελλάδα με αντάλλαγμα τα δάνεια διάσωσης.
Ο κ. Κατρούγκαλος επισήμανε επίσης πως η Ελλάδα είναι "ευέλικτη" για τις λεπτομέρειες του προτεινόμενου σχεδίου για το ασφαλιστικό, αλλά απέκλεισε νέες περικοπές στα τωρινά επίπεδα συντάξεων.
"Για εμάς είναι κόκκινη γραμμή να μην μειωθούν οι συντάξεις για 12η φορά", σημείωσε.


Δεν υπάρχουν σχόλια:
Δημοσίευση σχολίου